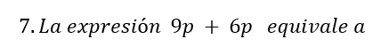
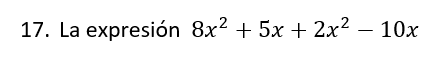
Examen de Algebra 8vo /10 Examen de Algebra 8vo Este examen para practicar solo contiene 10 preguntas de Algebra 1 / 10 1) 5x³ 2) 10x² - 5x 3) 10x⁴ - 5x² 2 / 10 1) -50 2) -10 3) -100 3 / 10 1) Ambas 2) Solo la I 3) Solo la II 4 / 10 1) Solo la II 2) Ambas 3) Ninguna 5 / 10 1) 490 2) 1740 3) 760 4) 1250 6 / 10 1) -13x⁴ 2) -7x⁴ 3) -7x⁴ - 6 7 / 10 1) k = - 2 - 9x 2) k = - 2 - 3x 3) k = 2 + 3x 4) k = - 2 + 3x 8 / 10 1) 6m⁴ + 10n² 2) 9m⁴ - 25n² 3) 9m⁴ - 15m² + 25n² 4) 9m⁴ - 30m²n + 25n² 9 / 10 1) -1/13 2) 1/7 3) 13/7 4) -13/3 10 / 10 1) Solo la I. 2) Solo la II. 3) Ninguna. 4) Ambas. Déjanos tus datos para que puedas aprender con nuestros profesionales Tu puntación es 0% Reinicia el cuestionario Salir Clic para volver a pagina principal