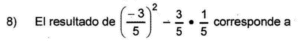
Examen de Raíces y Potencias de 8vo /7 Examen para 8vo - Mate Raíces y Potencias Este examen para practicar solo contiene preguntas de Raíces y Potencias de 8vo 1 / 7 1) III. 2) II. 3) I. 2 / 7 1) ambas. 2) solo la I. 3) ninguna. 4) solo la II. 3 / 7 1) 3/2 2) 9/2 3) 9/4 4 / 7 1) -9/5 2) -12/25 3) 6/25 4) 3/5 5 / 7 1) 4/25 2) 4/10 3) 4/12 4) 4/7 6 / 7 1) solo la I. 2) solo la II. 3) ambas. 4) ninguna. 7 / 7 1) -62/25 2) 37/70 3) 7/5 4) -1/5 Déjanos tus datos para que puedas aprender con nuestros profesionales Tu puntación es 0% Reinicia el cuestionario Salir Clic para volver a pagina principal