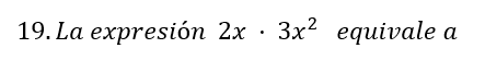
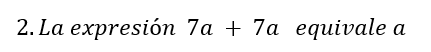
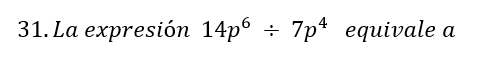
Examen de Pendiente 5 /10 Examen de Algebra 8vo Este examen para practicar solo contiene 10 preguntas de Algebra 1 / 10 1) 12x⁸ 2) 12x⁴ 3) 12x¹² 2 / 10 1) x² y² 2) 2x² y 3) y² x 3 / 10 1) 5a 2) 14a 3) 9a 4 / 10 1) 3a² 2) 3a 3) 10a 5 / 10 1) 6y 2) y² 3) 8y 6 / 10 1) 3 m3 2) 2 m4 3) 2 m3 4) 3 m4 7 / 10 1) p(x) = 850 - 100x 2) p(x) = 100x 3) p(x) = 750x 4) p(x) = 850 + 100x 8 / 10 1) a⁷ 2) a⁴ 3) a¹⁰ 9 / 10 1) a¹⁵ 2) a¹⁰⁰ 3) a²⁸ 10 / 10 1) 30 2) 32 3) 16 4) 11 Déjanos tus datos para que puedas aprender con nuestros profesionales Tu puntación es 0% Reinicia el cuestionario Salir Clic para volver a pagina principal